中国·太阳成集团tyc234cc(Macau)股份有限公司-集团官网
太阳成集团tyc234cc主页
今天是:2026年04月25日
网站首页
关于我们
公司领导
机构设置
机构简介
联系我们
团队建设
公司产品
思政公共课
本科教育
研究生教育
团队建设
特色项目
党群工作
党建工作
工会工作
团委工作
员工工作
规章制度
日常管理
人才招聘
招生工作
就业工作
公司产品
思政公共课
本科教育
研究生教育
团队建设
首页
>
公司产品
>
研究生教育
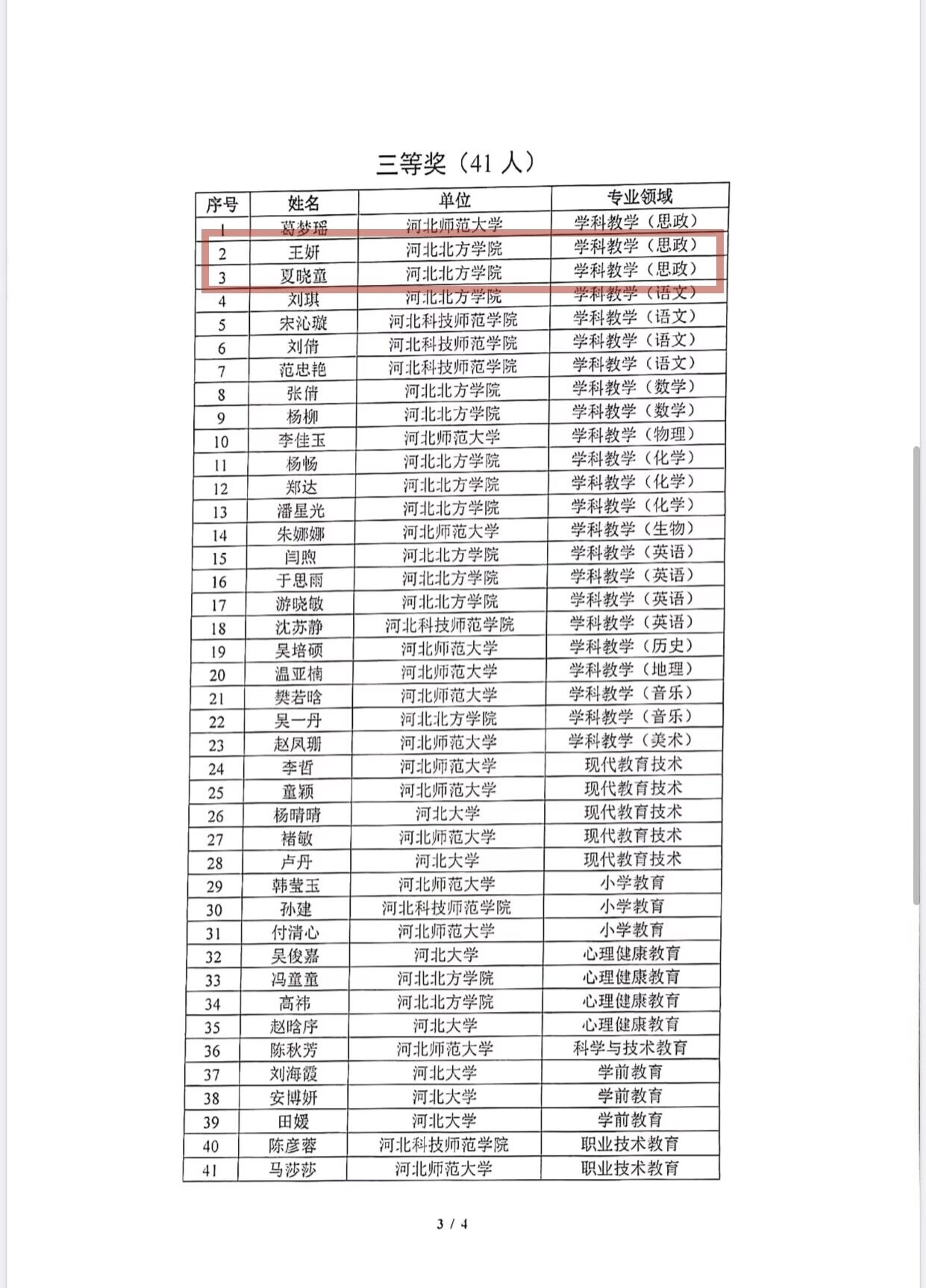
公司学科教学(思政)专业研究生在第二届河北省全日制教育硕士专业学位研究生教学技能大赛中喜获佳绩
发布时间:2023.03.17 阅读次数:21446